在全球范围内,建筑和基础设施部门占钢铁产量的 50% 以上。2019 年的产量约为 935 Mt [1],其中估计至少有 150 Mt 为热轧梁和型材。这些钢材吨位的价值接近 1000 亿美元,其中绝大多数达到商品级,屈服强度范围为 235~355MPa,并且主要形式为小型和中型型材(单位为 kg/m)。
这类钢产品不属于高强度钢,并且作为商品级具有生产成本高度敏感性(即,铁矿石和铁合金的原材料、能源、废金属和排放输出)。对于铁合金,这些钢产品需要添加锰 (Mn) 来满足最低强度要求,尤其当屈服强度接近 355 MPa 和/或更大型材尺寸(即,kg/m 增大)时。此外,由于锰含量存在上限,通常使用钒 (V) 微合金化方法满足所需的产品比强度。
由于这两种元素广泛用于炼钢,钒也用于其他非钢铁行业,因此其价格可能会随市场需求而大幅波动。一直以来,此类价格波动已得到充分证明,并直接影响钢铁日常生产成本以及每吨钢铁可实现的利润率。
铌 (Nb) 的使用一直是热机械™加工和高强度低合金 (HSLA) 钢的代名词,因此,在轧制过程中添加铌后可以充分延迟奥氏体的重结晶进程。随着奥氏体逐渐减少,形成薄饼状形态,再转变为更细度的铁氧体晶粒,从而提高屈服强度和改进的低温韧性。
因此,目前铌并未广泛用于商品级结构钢,主要是因为其无需较高强度或无需满足较高低温韧性要求。但是,根据最新的和现有的已发表研究和实践,超低铌添加量(即,≤0.010 重量百分比)可直接减少此类商品级结构钢中的锰和/或免于添加钒。重要的是,这种替代方法无需改变现有的轧制程序(即,无需热机械轧制或更高要求的再加热做法),并且能够大幅节省成本。
虽然该温度可能仍略低于典型的梁钢和型材精轧温度,但是其更接近 Tnr,因此更有利于形成更细度的商品级结构钢。有效奥氏体界面面积 (Sv) 将增加,考虑到其他强化贡献因素(例如,锰和/或钒含量)的减少,最终将能产生更细度的铁氧体晶粒(并提高强度)(见图 2)。
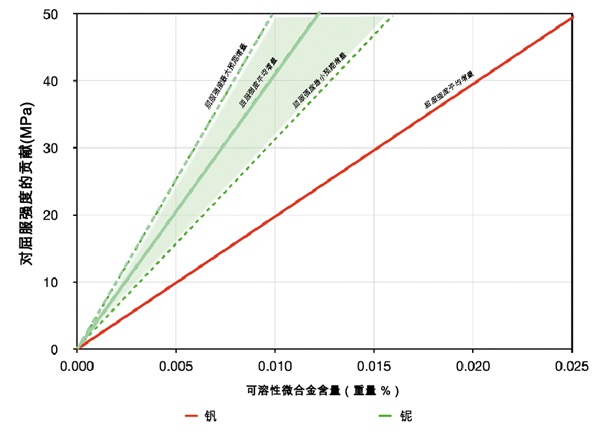
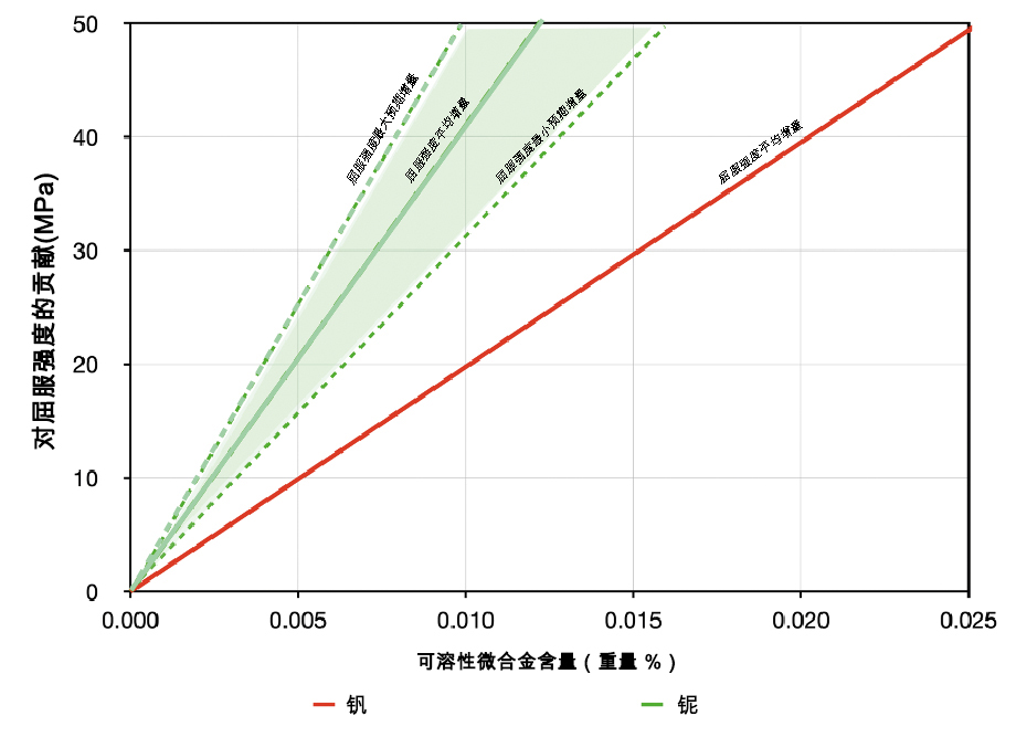
此外,由于未完全达到 Tnr 区域,所添加的铌仍应主要以溶质形式存在,因此在转化和冷却过程中发挥一定的沉淀强化作用(与钒的作用类似)。如图 3 所示,屈服强度增量取决于微合金。 在转化之前以溶质形式存在的数量以及所使用的微合金类型。此处很明显,从重量 % 溶质的角度,铌的强化作用比钒更强。在本例中,需要两倍的铌才能达到与铌相等的贡献(即,铌钒比为 1:2)。
但是,需要注意的是,强化程度也受转化过程中冷却速度的影响,因为该速度会影响析出物的尺寸和体积分数。图 4 显示,即使考虑到这一点,铌的有效度仍然比钒高 1.6~2.5 倍(取决于冷却速度),该图可作为图 3 中提供数据的补充。
虽然可以用钒取代铌进行直接比较,但是,一旦需要考虑锰的影响,结论就并非那么简单。除了有助于固溶强化(每重量%的贡献率较低),锰可以降低奥氏体(即,Ar3)的分解温度(有报告称每重量 % 添加量的温度可达 80ºC),从而对铁氧体反应的动力学产生明显的影响 [8]。因此,它通过加大成核点来支持一定程度的铁氧体晶粒细化,从而提高屈服强度。因此,在调整锰含量时,必须考虑这两种机制共同造成的潜在强度损耗。
根据上述关系可以构建一个图表,作为初步指南,用于确定在保持 355MP 最小屈服强度的同时可以被铌替代的锰含量 [6]。图 6 显示了一个有效示例,其中锰含量从 1.50 减少到 1.20 重量 % 将导致预测平均损耗达到 26MPa。这反过来将需要添加 0.006 至 0.008 重量 % 的铌。
根据这些指南,对于屈服强度 ≤355MPa 的商品级结构钢,替代0.35 重量 % 的锰、0.020 重量 % 的钒或 0.15 重量 % 的锰 +0.010 重量 % 的钒应添加 0.0080 至 0.0100 重量 % 的铌(最大值)。
最后,应指出的是,当首次尝试采用上述超低铌添加量的新方法(商品级结构钢,屈服强度≤355MPa)时,强烈建议铌添加量应取上限值,以确保满足最终的力学性能。在此基础上,铌含量才能逐渐降低直至进一步优化整体合金设计(包括进一步减少锰含量)
参考文献
1. 世界钢铁协会。
2. L.J.Cuddy,“热变形过程中微合金浓度对奥氏体重结晶的影响”,《微合金奥氏体的热机械加工》,AIME,1981年8月1~19日,第129~140页。
3. M.Gómez等人,“铌微合金化钢热轧过程中静态重结晶的驱动力和钉扎力测定”,日本钢铁协会,第45卷,第11期,2005年,第1666~1675页。
4. A.Sandber和W.Roberts,《瑞典金属研究所报告》(编号IM-1439),1980年。
5. L.Meyer、F.Heisterkamp和W.Mueschenborn,“正火、热机械处理和冷轧钢中的铌、钛和钒”,《微合金化75》,UnionCarbide,1975年,第153~167页。
6. J.H.Bucher、J.D.Grozier和J.F.Enrietta,《关于断裂 的高级论述》,HLiebowitz编,第六卷,学术出版社,1969年,第247~298页。
7. J.Patel,“在≤355MPa结构钢梁和型材中使用铌来节省钢铁合金成本”,SEAISI,《电子会议论文集》,2020年9月30日。
8. K.R.Kinsman和H.I.Aaronson,“钢的转化和淬透性”,ClimaxMolybdenumCo.,密歇根州安娜堡,1967年。
9. T.Gladman、D.Dulieu和I.D.McIvor,“高强度微合金钢的结构-性能关系”,《微合金化75》,UnionCarbide,1975年,第32~54页。
-
(2022/10/31 5:55)1.33 MB
相关内容


我们乐意倾听您的意见










